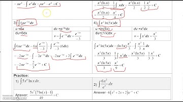
Part- 6 - Integration | integration by Parts (L-1) | Business Mathematics |B.com | BBA | CA | M.COM

Tonton & Download Video Musik Gratis

⬇ DOWNLOAD NOW
Kalau muncul iklan pop-up, tutup lalu klik tombol kembali

Download lagu Part- 6 - Integration | integration by Parts (L-1) | Business Mathematics |B.com | BBA | CA | M.COM secara gratis hanya untuk keperluan promosi. Dukung artis favorit kamu dengan membeli musik original di iTunes atau platform resmi lainnya.