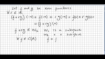
Lec 19 linear sum versus direct sum of vector space #difference_between_direct_and_linear_sum #sum

Tonton & Download Video Musik Gratis

⬇ DOWNLOAD NOW
Kalau muncul iklan pop-up, tutup lalu klik tombol kembali

Download lagu Lec 19 linear sum versus direct sum of vector space #difference_between_direct_and_linear_sum #sum secara gratis hanya untuk keperluan promosi. Dukung artis favorit kamu dengan membeli musik original di iTunes atau platform resmi lainnya.