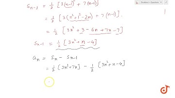
If the sum of the first n terms of an A.P. is `1/2(3n^2+7n)`, then find its nth term. Hence wr...

Tonton & Download Video Musik Gratis

⬇ DOWNLOAD NOW
Kalau muncul iklan pop-up, tutup lalu klik tombol kembali

Download lagu If the sum of the first n terms of an A.P. is `1/2(3n^2+7n)`, then find its nth term. Hence wr... secara gratis hanya untuk keperluan promosi. Dukung artis favorit kamu dengan membeli musik original di iTunes atau platform resmi lainnya.