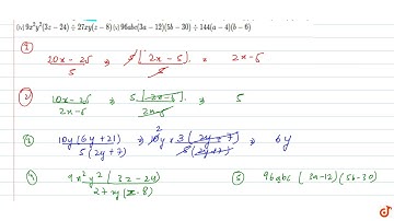
FACTORISATION NCERT CLASS 8 CHAPTER 14 EXERCISE 14.3 QUESTION - 3 - MATHS CBSE, RBSE, UP BOARD, ...

Tonton & Download Video Musik Gratis

โฌ‡ DOWNLOAD NOW
Kalau muncul iklan pop-up, tutup lalu klik tombol kembali

Download lagu FACTORISATION NCERT CLASS 8 CHAPTER 14 EXERCISE 14.3 QUESTION - 3 - MATHS CBSE, RBSE, UP BOARD, ... secara gratis hanya untuk keperluan promosi. Dukung artis favorit kamu dengan membeli musik original di iTunes atau platform resmi lainnya.