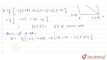
If A(-3,5), B(-2,-7), C(1,-8) and D(6,3) are the vertices of a quadrilateral A B C D, find its ar...

Tonton & Download Video Musik Gratis

⬇ DOWNLOAD NOW
Kalau muncul iklan pop-up, tutup lalu klik tombol kembali

Download lagu If A(-3,5), B(-2,-7), C(1,-8) and D(6,3) are the vertices of a quadrilateral A B C D, find its ar... secara gratis hanya untuk keperluan promosi. Dukung artis favorit kamu dengan membeli musik original di iTunes atau platform resmi lainnya.