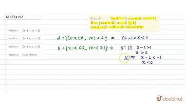
Let \( A=\{x: x \in R,|x|1\}, B=\{x: x \in R,|x-1| \geq 1\} \) and \( A \cup B=R-D \), then set ...

Tonton & Download Video Musik Gratis

⬇ DOWNLOAD NOW
Kalau muncul iklan pop-up, tutup lalu klik tombol kembali

Download lagu Let \( A=\{x: x \in R,|x|1\}, B=\{x: x \in R,|x-1| \geq 1\} \) and \( A \cup B=R-D \), then set ... secara gratis hanya untuk keperluan promosi. Dukung artis favorit kamu dengan membeli musik original di iTunes atau platform resmi lainnya.