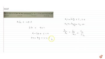
Problem-4 (If a,b,c are in AP then show that ax+by+c=0 represent family of Concurrent lines and find

Tonton & Download Video Musik Gratis

⬇ DOWNLOAD NOW
Kalau muncul iklan pop-up, tutup lalu klik tombol kembali

Download lagu Problem-4 (If a,b,c are in AP then show that ax+by+c=0 represent family of Concurrent lines and find secara gratis hanya untuk keperluan promosi. Dukung artis favorit kamu dengan membeli musik original di iTunes atau platform resmi lainnya.