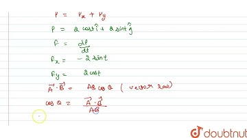
A particle moves in the \( x y \)-plane under the action of a force \( \boldsymbol{F} \) such th...

Tonton & Download Video Musik Gratis

⬇ DOWNLOAD NOW
Kalau muncul iklan pop-up, tutup lalu klik tombol kembali

Download lagu A particle moves in the \( x y \)-plane under the action of a force \( \boldsymbol{F} \) such th... secara gratis hanya untuk keperluan promosi. Dukung artis favorit kamu dengan membeli musik original di iTunes atau platform resmi lainnya.