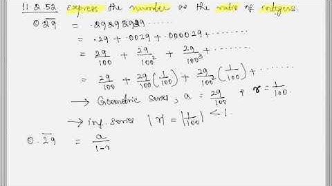
Express the repeating decimal as the ratio of two integers. 0.13 =0.131313. The ratio of two intege…

Tonton & Download Video Musik Gratis

⬇ DOWNLOAD NOW
Kalau muncul iklan pop-up, tutup lalu klik tombol kembali

Download lagu Express the repeating decimal as the ratio of two integers. 0.13 =0.131313. The ratio of two intege… secara gratis hanya untuk keperluan promosi. Dukung artis favorit kamu dengan membeli musik original di iTunes atau platform resmi lainnya.