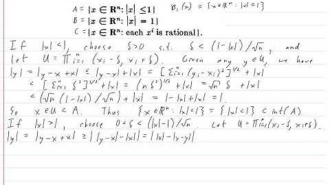
chapter 1 problem 7 in Michael Spivak(for csir net math ,gate,iit jam ,Algebra)

Tonton & Download Video Musik Gratis

⬇ DOWNLOAD NOW
Kalau muncul iklan pop-up, tutup lalu klik tombol kembali

Download lagu chapter 1 problem 7 in Michael Spivak(for csir net math ,gate,iit jam ,Algebra) secara gratis hanya untuk keperluan promosi. Dukung artis favorit kamu dengan membeli musik original di iTunes atau platform resmi lainnya.