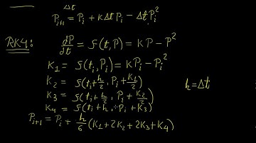
Euler's Method vs Runge-Kutta 4 #maths #education #calculus #numericalmethods

Tonton & Download Video Musik Gratis

⬇ DOWNLOAD NOW
Kalau muncul iklan pop-up, tutup lalu klik tombol kembali

Download lagu Euler's Method vs Runge-Kutta 4 #maths #education #calculus #numericalmethods secara gratis hanya untuk keperluan promosi. Dukung artis favorit kamu dengan membeli musik original di iTunes atau platform resmi lainnya.