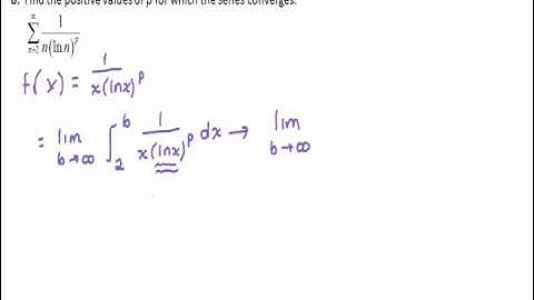
AP Calculus BC - Section 9.3 - The Integral Test - Example 1b.wmv

Tonton & Download Video Musik Gratis

⬇ DOWNLOAD NOW
Kalau muncul iklan pop-up, tutup lalu klik tombol kembali

Download lagu AP Calculus BC - Section 9.3 - The Integral Test - Example 1b.wmv secara gratis hanya untuk keperluan promosi. Dukung artis favorit kamu dengan membeli musik original di iTunes atau platform resmi lainnya.