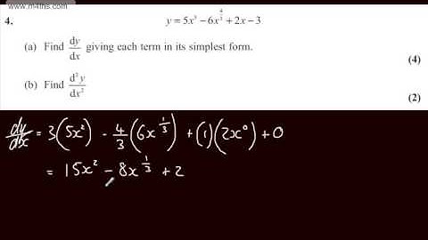
q7 C1 Edexcel May 2012 Quick worked examples core 1 AS maths

Tonton & Download Video Musik Gratis

⬇ DOWNLOAD NOW
Kalau muncul iklan pop-up, tutup lalu klik tombol kembali

Download lagu q7 C1 Edexcel May 2012 Quick worked examples core 1 AS maths secara gratis hanya untuk keperluan promosi. Dukung artis favorit kamu dengan membeli musik original di iTunes atau platform resmi lainnya.