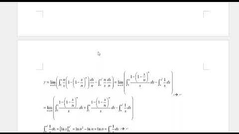
감마함수의 로그 도함수 I (The logarithmic derivative of the gamma function I)

Tonton & Download Video Musik Gratis

⬇ DOWNLOAD NOW
Kalau muncul iklan pop-up, tutup lalu klik tombol kembali

Download lagu 감마함수의 로그 도함수 I (The logarithmic derivative of the gamma function I) secara gratis hanya untuk keperluan promosi. Dukung artis favorit kamu dengan membeli musik original di iTunes atau platform resmi lainnya.