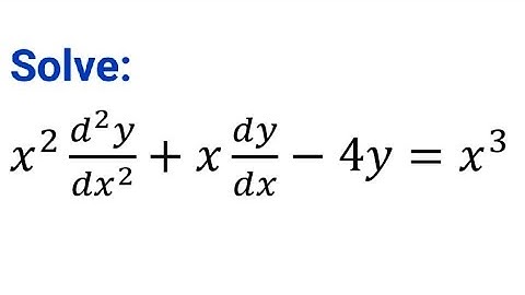
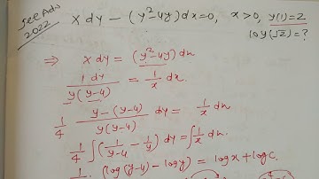
If y(x) be the Solution of the Differential Equation xdy - (y^2 - 4y)dx y(1) = 2 | JEE Advanced Math

Tonton & Download Video Musik Gratis

⬇ DOWNLOAD NOW
Kalau muncul iklan pop-up, tutup lalu klik tombol kembali

Download lagu If y(x) be the Solution of the Differential Equation xdy - (y^2 - 4y)dx y(1) = 2 | JEE Advanced Math secara gratis hanya untuk keperluan promosi. Dukung artis favorit kamu dengan membeli musik original di iTunes atau platform resmi lainnya.