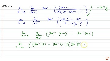
`lim_(n- gtoo) sum_(n=1)^ntan^(- 1)((2r+1)/(r^4+2r^3+r^2+1))` is equal to

Tonton & Download Video Musik Gratis

⬇ DOWNLOAD NOW
Kalau muncul iklan pop-up, tutup lalu klik tombol kembali

Download lagu `lim_(n- gtoo) sum_(n=1)^ntan^(- 1)((2r+1)/(r^4+2r^3+r^2+1))` is equal to secara gratis hanya untuk keperluan promosi. Dukung artis favorit kamu dengan membeli musik original di iTunes atau platform resmi lainnya.