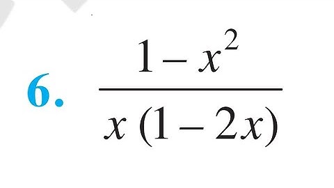
class 12th Chapter 7 Integrals NCERT solutions EX 7.5 Q14 by Vikash Kumar Mahato

Tonton & Download Video Musik Gratis

⬇ DOWNLOAD NOW
Kalau muncul iklan pop-up, tutup lalu klik tombol kembali

Download lagu class 12th Chapter 7 Integrals NCERT solutions EX 7.5 Q14 by Vikash Kumar Mahato secara gratis hanya untuk keperluan promosi. Dukung artis favorit kamu dengan membeli musik original di iTunes atau platform resmi lainnya.