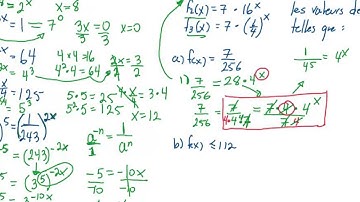
Sec. 4 (TS) - Les fonctions - Résolution d'une équation exponentielle (logarithmes)

Tonton & Download Video Musik Gratis

⬇ DOWNLOAD NOW
Kalau muncul iklan pop-up, tutup lalu klik tombol kembali

Download lagu Sec. 4 (TS) - Les fonctions - Résolution d'une équation exponentielle (logarithmes) secara gratis hanya untuk keperluan promosi. Dukung artis favorit kamu dengan membeli musik original di iTunes atau platform resmi lainnya.