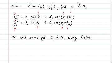
Robotics Lec 4b: 2D, 2-link manipulator inverse kinematics (Fall 2022)

Tonton & Download Video Musik Gratis

⬇ DOWNLOAD NOW
Kalau muncul iklan pop-up, tutup lalu klik tombol kembali

Download lagu Robotics Lec 4b: 2D, 2-link manipulator inverse kinematics (Fall 2022) secara gratis hanya untuk keperluan promosi. Dukung artis favorit kamu dengan membeli musik original di iTunes atau platform resmi lainnya.