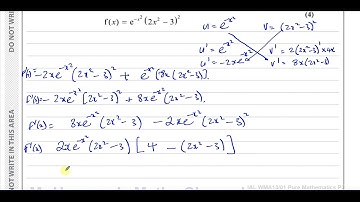
WMA13/01, (Edexcel), IAL, October 2023, Q5, Differentiation, The Quotient Rule, Turning Points

Tonton & Download Video Musik Gratis

⬇ DOWNLOAD NOW
Kalau muncul iklan pop-up, tutup lalu klik tombol kembali

Download lagu WMA13/01, (Edexcel), IAL, October 2023, Q5, Differentiation, The Quotient Rule, Turning Points secara gratis hanya untuk keperluan promosi. Dukung artis favorit kamu dengan membeli musik original di iTunes atau platform resmi lainnya.