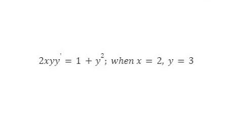
2xyy'=1+y^2; when x=2, y=3 | Differential Equations | Separation of Variables

Tonton & Download Video Musik Gratis

⬇ DOWNLOAD NOW
Kalau muncul iklan pop-up, tutup lalu klik tombol kembali

Download lagu 2xyy'=1+y^2; when x=2, y=3 | Differential Equations | Separation of Variables secara gratis hanya untuk keperluan promosi. Dukung artis favorit kamu dengan membeli musik original di iTunes atau platform resmi lainnya.