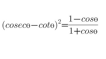
Class 10 Ex 8.4 Q5 (i) Prove (cosecθ - cotθ)^2 = 1-cosθ /1+cosθ | Class 10th | @niharmhirani

Tonton & Download Video Musik Gratis

⬇ DOWNLOAD NOW
Kalau muncul iklan pop-up, tutup lalu klik tombol kembali

Download lagu Class 10 Ex 8.4 Q5 (i) Prove (cosecθ - cotθ)^2 = 1-cosθ /1+cosθ | Class 10th | @niharmhirani secara gratis hanya untuk keperluan promosi. Dukung artis favorit kamu dengan membeli musik original di iTunes atau platform resmi lainnya.