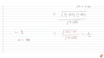
If root 7 minus 2 / root 7 + 2 equal a root 7 + b then the value of a is

Tonton & Download Video Musik Gratis

⬇ DOWNLOAD NOW
Kalau muncul iklan pop-up, tutup lalu klik tombol kembali

Download lagu If root 7 minus 2 / root 7 + 2 equal a root 7 + b then the value of a is secara gratis hanya untuk keperluan promosi. Dukung artis favorit kamu dengan membeli musik original di iTunes atau platform resmi lainnya.