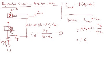
Regenerative Hydraulic Circuit: Retraction Velocity, Load Capacity, and Power Formula Explained

Tonton & Download Video Musik Gratis

⬇ DOWNLOAD NOW
Kalau muncul iklan pop-up, tutup lalu klik tombol kembali

Download lagu Regenerative Hydraulic Circuit: Retraction Velocity, Load Capacity, and Power Formula Explained secara gratis hanya untuk keperluan promosi. Dukung artis favorit kamu dengan membeli musik original di iTunes atau platform resmi lainnya.