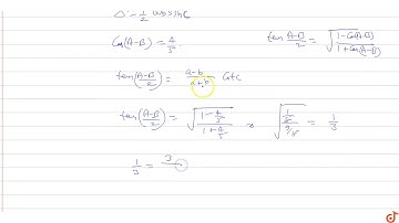
In triangle `ABC, a=5, b=4` and `cos(A+B)=(31)/(32)` In this triangle,`c=`

Tonton & Download Video Musik Gratis

тмЗ DOWNLOAD NOW
Kalau muncul iklan pop-up, tutup lalu klik tombol kembali

Download lagu In triangle `ABC, a=5, b=4` and `cos(A+B)=(31)/(32)` In this triangle,`c=` secara gratis hanya untuk keperluan promosi. Dukung artis favorit kamu dengan membeli musik original di iTunes atau platform resmi lainnya.