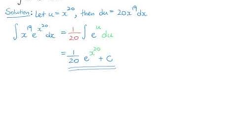
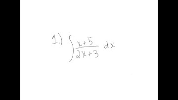
[3] Indefinite Integration Using U-Substitution (Easy Level Part 3)

Tonton & Download Video Musik Gratis

⬇ DOWNLOAD NOW
Kalau muncul iklan pop-up, tutup lalu klik tombol kembali

Download lagu [3] Indefinite Integration Using U-Substitution (Easy Level Part 3) secara gratis hanya untuk keperluan promosi. Dukung artis favorit kamu dengan membeli musik original di iTunes atau platform resmi lainnya.