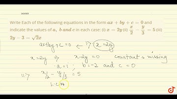
Write Each of the\nfollowing equations in the form a x+b y+c=0\nand indicate the values\nof a ,\...

Tonton & Download Video Musik Gratis

⬇ DOWNLOAD NOW
Kalau muncul iklan pop-up, tutup lalu klik tombol kembali

Download lagu Write Each of the\nfollowing equations in the form a x+b y+c=0\nand indicate the values\nof a ,\... secara gratis hanya untuk keperluan promosi. Dukung artis favorit kamu dengan membeli musik original di iTunes atau platform resmi lainnya.