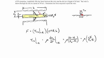
Viscosity - Example 3 (find the velocity gradient)! dynamic viscosity, shear stress, kinematic

Tonton & Download Video Musik Gratis

⬇ DOWNLOAD NOW
Kalau muncul iklan pop-up, tutup lalu klik tombol kembali

Download lagu Viscosity - Example 3 (find the velocity gradient)! dynamic viscosity, shear stress, kinematic secara gratis hanya untuk keperluan promosi. Dukung artis favorit kamu dengan membeli musik original di iTunes atau platform resmi lainnya.