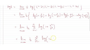
Evaluate `lim_(n- gtoo)1/nsum_(r=n+1)^(2n)log_e(1+r/n)`

Tonton & Download Video Musik Gratis

⬇ DOWNLOAD NOW
Kalau muncul iklan pop-up, tutup lalu klik tombol kembali

Download lagu Evaluate `lim_(n- gtoo)1/nsum_(r=n+1)^(2n)log_e(1+r/n)` secara gratis hanya untuk keperluan promosi. Dukung artis favorit kamu dengan membeli musik original di iTunes atau platform resmi lainnya.