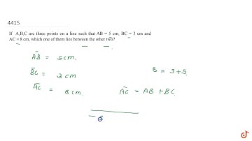
If A,B,C are three points on a line such that AB = 5 cm , BC = 3 cm and AC = 8 cm , which one of...

Tonton & Download Video Musik Gratis

⬇ DOWNLOAD NOW
Kalau muncul iklan pop-up, tutup lalu klik tombol kembali

Download lagu If A,B,C are three points on a line such that AB = 5 cm , BC = 3 cm and AC = 8 cm , which one of... secara gratis hanya untuk keperluan promosi. Dukung artis favorit kamu dengan membeli musik original di iTunes atau platform resmi lainnya.