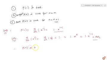
Using mathematical induction prove d/dx (xn) = nxn-1 - Teachoo

Tonton & Download Video Musik Gratis

⬇ DOWNLOAD NOW
Kalau muncul iklan pop-up, tutup lalu klik tombol kembali

Download lagu Using mathematical induction prove d/dx (xn) = nxn-1 - Teachoo secara gratis hanya untuk keperluan promosi. Dukung artis favorit kamu dengan membeli musik original di iTunes atau platform resmi lainnya.