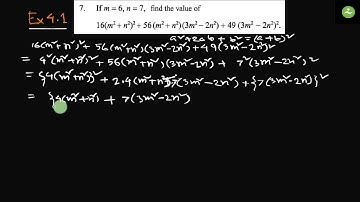
8th Class||4th Chapter||Exercise 4.1||Part-7 #newsyllabus #maths #telugu #english

Tonton & Download Video Musik Gratis

⬇ DOWNLOAD NOW
Kalau muncul iklan pop-up, tutup lalu klik tombol kembali

Download lagu 8th Class||4th Chapter||Exercise 4.1||Part-7 #newsyllabus #maths #telugu #english secara gratis hanya untuk keperluan promosi. Dukung artis favorit kamu dengan membeli musik original di iTunes atau platform resmi lainnya.