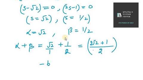
Find the zeroes of the following polynomials by factorisation method and verify the t3–2t2–15t

Tonton & Download Video Musik Gratis

⬇ DOWNLOAD NOW
Kalau muncul iklan pop-up, tutup lalu klik tombol kembali

Download lagu Find the zeroes of the following polynomials by factorisation method and verify the t3–2t2–15t secara gratis hanya untuk keperluan promosi. Dukung artis favorit kamu dengan membeli musik original di iTunes atau platform resmi lainnya.