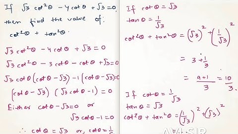
If root3 cot^2θ-4cotθ+root3 = 0, then find the value of cot^2θ+tan^2θ.

Tonton & Download Video Musik Gratis

⬇ DOWNLOAD NOW
Kalau muncul iklan pop-up, tutup lalu klik tombol kembali

Download lagu If root3 cot^2θ-4cotθ+root3 = 0, then find the value of cot^2θ+tan^2θ. secara gratis hanya untuk keperluan promosi. Dukung artis favorit kamu dengan membeli musik original di iTunes atau platform resmi lainnya.