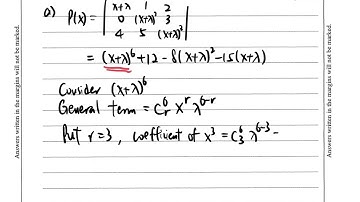
DSE Maths (M2) PP 2017/Q2 (Binomial Theorem)

Tonton & Download Video Musik Gratis

⬇ DOWNLOAD NOW
Kalau muncul iklan pop-up, tutup lalu klik tombol kembali

Download lagu DSE Maths (M2) PP 2017/Q2 (Binomial Theorem) secara gratis hanya untuk keperluan promosi. Dukung artis favorit kamu dengan membeli musik original di iTunes atau platform resmi lainnya.