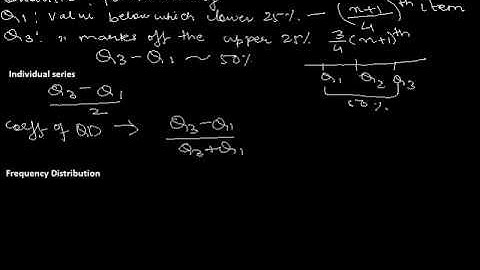
Business Statistic / Chapter 4 / Lecture 5 / Quartile Deviation / Co efficient of quartile Deviation

Tonton & Download Video Musik Gratis

⬇ DOWNLOAD NOW
Kalau muncul iklan pop-up, tutup lalu klik tombol kembali

Download lagu Business Statistic / Chapter 4 / Lecture 5 / Quartile Deviation / Co efficient of quartile Deviation secara gratis hanya untuk keperluan promosi. Dukung artis favorit kamu dengan membeli musik original di iTunes atau platform resmi lainnya.