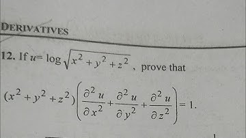
Problems On Symmetric Functions | If u=1÷(√(x²+y²+z²)) Show That ((∂²u/∂x²)+(∂²u/∂y²)+(∂²u/∂z²))=0

Tonton & Download Video Musik Gratis

⬇ DOWNLOAD NOW
Kalau muncul iklan pop-up, tutup lalu klik tombol kembali

Download lagu Problems On Symmetric Functions | If u=1÷(√(x²+y²+z²)) Show That ((∂²u/∂x²)+(∂²u/∂y²)+(∂²u/∂z²))=0 secara gratis hanya untuk keperluan promosi. Dukung artis favorit kamu dengan membeli musik original di iTunes atau platform resmi lainnya.