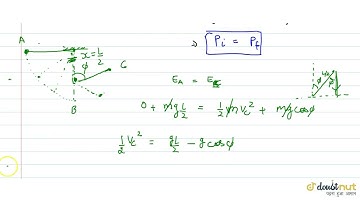
A simple pendulum of length L having a bob of mass m is first taken aside so that the string for...

Tonton & Download Video Musik Gratis

⬇ DOWNLOAD NOW
Kalau muncul iklan pop-up, tutup lalu klik tombol kembali

Download lagu A simple pendulum of length L having a bob of mass m is first taken aside so that the string for... secara gratis hanya untuk keperluan promosi. Dukung artis favorit kamu dengan membeli musik original di iTunes atau platform resmi lainnya.