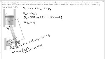
Dynamics | Angular Velocity of connecting rod | Velocity of piston | Applied mechanics 2 | Numerical

Tonton & Download Video Musik Gratis

⬇ DOWNLOAD NOW
Kalau muncul iklan pop-up, tutup lalu klik tombol kembali

Download lagu Dynamics | Angular Velocity of connecting rod | Velocity of piston | Applied mechanics 2 | Numerical secara gratis hanya untuk keperluan promosi. Dukung artis favorit kamu dengan membeli musik original di iTunes atau platform resmi lainnya.