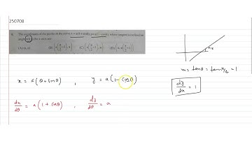
Show that the normal at any point θ to the curve x = a cosθ + a θ sin θ, y = a sinθ – aθ cosθ is at

Tonton & Download Video Musik Gratis

⬇ DOWNLOAD NOW
Kalau muncul iklan pop-up, tutup lalu klik tombol kembali

Download lagu Show that the normal at any point θ to the curve x = a cosθ + a θ sin θ, y = a sinθ – aθ cosθ is at secara gratis hanya untuk keperluan promosi. Dukung artis favorit kamu dengan membeli musik original di iTunes atau platform resmi lainnya.