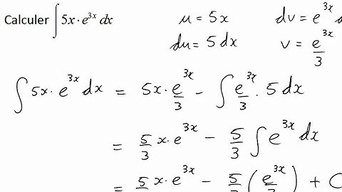
DOUBLE INTÉGRATION PAR PARTIES. PARTIE III

Tonton & Download Video Musik Gratis

⬇ DOWNLOAD NOW
Kalau muncul iklan pop-up, tutup lalu klik tombol kembali

Download lagu DOUBLE INTÉGRATION PAR PARTIES. PARTIE III secara gratis hanya untuk keperluan promosi. Dukung artis favorit kamu dengan membeli musik original di iTunes atau platform resmi lainnya.