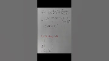
UEH - TOÁN ỨNG DỤNG - CHỮA BÀI TẬP HỌC VIÊN - CỰC TRỊ HÀM LAGRANGE - BÀI TOÁN KINH TẾ- PHẦN 2

Tonton & Download Video Musik Gratis

⬇ DOWNLOAD NOW
Kalau muncul iklan pop-up, tutup lalu klik tombol kembali

Download lagu UEH - TOÁN ỨNG DỤNG - CHỮA BÀI TẬP HỌC VIÊN - CỰC TRỊ HÀM LAGRANGE - BÀI TOÁN KINH TẾ- PHẦN 2 secara gratis hanya untuk keperluan promosi. Dukung artis favorit kamu dengan membeli musik original di iTunes atau platform resmi lainnya.