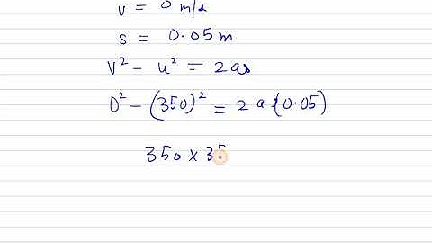
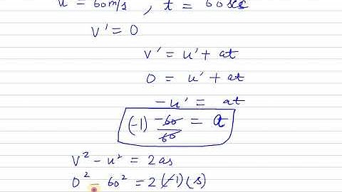
Q14 Ch-3 Hc Verma Volume 1|| Rest and Motion Kinematics

Tonton & Download Video Musik Gratis

⬇ DOWNLOAD NOW
Kalau muncul iklan pop-up, tutup lalu klik tombol kembali

Download lagu Q14 Ch-3 Hc Verma Volume 1|| Rest and Motion Kinematics secara gratis hanya untuk keperluan promosi. Dukung artis favorit kamu dengan membeli musik original di iTunes atau platform resmi lainnya.