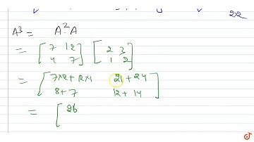
Show that the matrix A = [2 3 1 2] satisfies the equation A^2-4A+I = 0. Find inverse of A.

Tonton & Download Video Musik Gratis

⬇ DOWNLOAD NOW
Kalau muncul iklan pop-up, tutup lalu klik tombol kembali

Download lagu Show that the matrix A = [2 3 1 2] satisfies the equation A^2-4A+I = 0. Find inverse of A. secara gratis hanya untuk keperluan promosi. Dukung artis favorit kamu dengan membeli musik original di iTunes atau platform resmi lainnya.