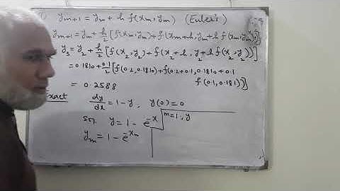
4/4 Modified Euler's method by (Dr. Anjum Pervaiz Bukhsh)

Tonton & Download Video Musik Gratis

⬇ DOWNLOAD NOW
Kalau muncul iklan pop-up, tutup lalu klik tombol kembali

Download lagu 4/4 Modified Euler's method by (Dr. Anjum Pervaiz Bukhsh) secara gratis hanya untuk keperluan promosi. Dukung artis favorit kamu dengan membeli musik original di iTunes atau platform resmi lainnya.