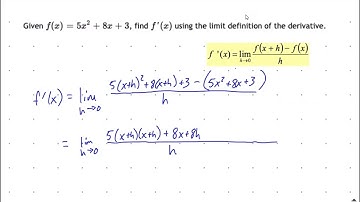
Ex : Determine The Value of a Derivative using the Limit Definition (Quadratic)

Tonton & Download Video Musik Gratis

⬇ DOWNLOAD NOW
Kalau muncul iklan pop-up, tutup lalu klik tombol kembali

Download lagu Ex : Determine The Value of a Derivative using the Limit Definition (Quadratic) secara gratis hanya untuk keperluan promosi. Dukung artis favorit kamu dengan membeli musik original di iTunes atau platform resmi lainnya.