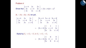
Using properties of determinants, prove the identities: (i) \( \left|\begin{array}{lll}x & y & 1...

Tonton & Download Video Musik Gratis

⬇ DOWNLOAD NOW
Kalau muncul iklan pop-up, tutup lalu klik tombol kembali

Download lagu Using properties of determinants, prove the identities: (i) \( \left|\begin{array}{lll}x & y & 1... secara gratis hanya untuk keperluan promosi. Dukung artis favorit kamu dengan membeli musik original di iTunes atau platform resmi lainnya.