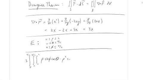
Math 114 - 16.8 - Divergence Theorem on a NOT Closed Region - The Plug and Chug Series #64

Tonton & Download Video Musik Gratis

⬇ DOWNLOAD NOW
Kalau muncul iklan pop-up, tutup lalu klik tombol kembali

Download lagu Math 114 - 16.8 - Divergence Theorem on a NOT Closed Region - The Plug and Chug Series #64 secara gratis hanya untuk keperluan promosi. Dukung artis favorit kamu dengan membeli musik original di iTunes atau platform resmi lainnya.