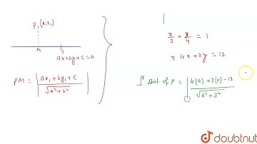
Find the points of the xaxis, whose distances fromthe line x/3+y/4=1are 4 unit is. | 11 | STRAIG...

Tonton & Download Video Musik Gratis

⬇ DOWNLOAD NOW
Kalau muncul iklan pop-up, tutup lalu klik tombol kembali

Download lagu Find the points of the xaxis, whose distances fromthe line x/3+y/4=1are 4 unit is. | 11 | STRAIG... secara gratis hanya untuk keperluan promosi. Dukung artis favorit kamu dengan membeli musik original di iTunes atau platform resmi lainnya.