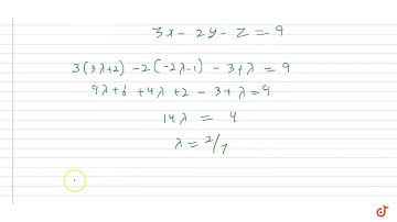
Let the image of the point P(2,-1,3) in the plane x+2y-z=0 be Q. Then distance of plane 3x-2y+z+29=0

Tonton & Download Video Musik Gratis

⬇ DOWNLOAD NOW
Kalau muncul iklan pop-up, tutup lalu klik tombol kembali

Download lagu Let the image of the point P(2,-1,3) in the plane x+2y-z=0 be Q. Then distance of plane 3x-2y+z+29=0 secara gratis hanya untuk keperluan promosi. Dukung artis favorit kamu dengan membeli musik original di iTunes atau platform resmi lainnya.